Skip to content Skip to sidebar Skip to footer

Rewrite As A Logarithmic Equation : Solving exponential and logarithmic equations.

Rewrite As A Logarithmic Equation : Solving exponential and logarithmic equations.. A logarithmic equationan equation that involves a logarithm with a variable argument. Similarly, all logarithmic functions can be rewritten in exponential form. Therefore, when given an equation with logs of the same base on each side, we can use rules of logarithms to rewrite each side as a single logarithm. How do i express the following as a single logarithm: Exponential equations can be written in logarithmic form and although the equations will look different, the equations still have the same to discuss what a logarithm is, we need to take a look at an exponential function.

What you have here is the exponential form of a logarithm which is defined as. Use the rules of exponents to isolate a logarithmic expression (with the same base) on both sides of the. This is only apparently a logarithmic equation, because it is the same as. Log 2 4 is a logarithm equation that you can solve and get an answer of 2. Or you can simply rewrite the logarithmic equation in exponential form to solve (i.e.

Logarithm Equation Calculator
Logarithm Equation Calculator from www.calculatorsoup.com
This site is using cookies under cookie policy. Log 2 4 is a logarithm equation that you can solve and get an answer of 2. $\ln(37)= 3.6109$, in exponential form? How to rewrite a logarithmic expression as one single. So, let's start with a generic exponent ial funct ion, say y = b x. Rewrite the logarithmic equation in exponential form. Exponentiate both sides of the equation using the base of the logarithm. When one side of the equation contains a single logarithm and the other side contains a constant, the equation can be solved by rewriting the equation as an equivalent exponential equation using the definition of.

Write a new equation that sets the bases equal to each other.

Isolate the logarithmic term before you convert the logarithmic equation to an exponential equation. An equation containing variables in the exponents is knowns as an exponential equation, whereas an equation that involves the logarithm of an expression containing a variable is referred to as a logarithmic equation. So, let's start with a generic exponent ial funct ion, say y = b x. Hi gals and guys i would really cherish some help with rewrite as a logarithmic expression on which i'm really stuck. Exponentiate both sides of the equation using the base of the logarithm. How do you write a logarithmic function? This is only apparently a logarithmic equation, because it is the same as. We have to convert an exponential equation into the logarithmic equation. Rewriting as logarithmic equations and the information around it will be available here. How do i express the following as a single logarithm: I have this math assignment and don't know how to solve trinomials, perfect square trinomial and powers. Rewrite both sides of the equation as an exponential expression with the same base. How to rewrite a logarithmic expression as one single.

Logy x = y ⇔ x = b y this last inverse function property helps in converting exponential equation to a logarithmic one and a logarithmic equation to an exponential one. How can your rewrite a logarithm expression? Examples with detailed solutions are included. Divide both sides of the original equation by 7 recall also that logarithms are exponents, so the exponent is. How do you write a logarithmic function?

Logarithmic Equations With Logs On One Side Kate S Math Lessons
Logarithmic Equations With Logs On One Side Kate S Math Lessons from www.katesmathlessons.com
Rewrite the logarithmic equation in exponential form. Since the bases are equal to solve a general logarithmic equation. Exponential equations can be written in logarithmic form and although the equations will look different, the equations still have the same to discuss what a logarithm is, we need to take a look at an exponential function. How do you write a logarithmic function? How would i rewrite this logarithmic equation: While this does define a solution, and an exact solution at that, you may find it while we were able to solve the basic exponential equation 2x = 10 by rewriting in logarithmic form and then using the change of base formula to evaluate the. Or you can simply rewrite the logarithmic equation in exponential form to solve (i.e. Log 3 9 can be solved as a logarithmic equation.

For logarithmic equations, is equivalent to.

An equation containing variables in the exponents is knowns as an exponential equation, whereas an equation that involves the logarithm of an expression containing a variable is referred to as a logarithmic equation. How do you write a logarithmic function? That is, when adding two logs of the same base, you can rewrite the expression as a single log by multiplying the terms within the logarithmic expression. Similarly, all logarithmic functions can be rewritten in exponential form. Click here to get an answer to your question rewrite as a logarithmic equation. Online tutorial on solving logarithmic and exponential equations; In this segment we will cover equations with logarithms. Use the rules of exponents to isolate a logarithmic expression (with the same base) on both sides of the. · convert exponential equations to logarithmic equations. Log 2 4 is a logarithm equation that you can solve and get an answer of 2. For logarithmic equations, is equivalent to. This is only apparently a logarithmic equation, because it is the same as. To solve an exponential equation, first isolate the exponential expression, then take the logarithm of both exponentiate both sides.

Using properties of logarithms is helpful to combine many logarithms into a single one. An equation containing variables in the exponents is knowns as an exponential equation, whereas an equation that involves the logarithm of an expression containing a variable is referred to as a logarithmic equation. I have this math assignment and don't know how to solve trinomials, perfect square trinomial and powers. Logarithms are really useful in permitting us to work with very large numbers while manipulating numbers of a much more manageable size. Isolate the logarithmic term before you convert the logarithmic equation to an exponential equation.

Lesson Video Logarithmic Equations With Like Bases Nagwa
Lesson Video Logarithmic Equations With Like Bases Nagwa from media.nagwa.com
Therefore, when given an equation with logs of the same base on each side, we can use rules of logarithms to rewrite each side as a single logarithm. Using properties of logarithms is helpful to combine many logarithms into a single one. If this cannot be done, use method 2. Rewrite log20 − log5 as a single term using the quotient rule formula. Divide both sides of the original equation by 7 recall also that logarithms are exponents, so the exponent is. Logarithmic equations are equations involving logarithms. As the examples below will show you, a logarithmic expression like $$ log_2 256 $$ is simply a different way of writing an exponent! When you're solving logarithmic equations, rewrite it first in its exponential form.

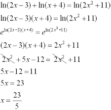
I really need help with this problem.

For logarithmic equations, is equivalent to. Therefore, when given an equation with logs of the same base on each side, we can use rules of logarithms to rewrite each side as a single logarithm. There are also online lessons you can try.in this video we rewrite logarithmic equations as exponential equations in order to solve for an unknown. How do you solve logarithmic equations step by step? Rewrite the logarithmic equation in exponential form. Examples with detailed solutions are included. Rewrite as a logarithmic equation e^9=y. Solve the linear equation as you normally would. Logarithms are really useful in permitting us to work with very large numbers while manipulating numbers of a much more manageable size. What you have here is the exponential form of a logarithm which is defined as. Logarithmic equations are equations involving logarithms. Hi gals and guys i would really cherish some help with rewrite as a logarithmic expression on which i'm really stuck. As the examples below will show you, a logarithmic expression like $$ log_2 256 $$ is simply a different way of writing an exponent!